Упражнение 26.28 ГДЗ Мерзляк 10 класс Углубленный уровень (Алгебра)
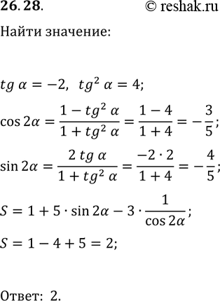
26.28. Вычислите 1+5sin(2О±)-3/cos(2О±), если tg(О±)=-2. *Цитирирование задания со ссылкой на учебник производится исключительно в учебных целях для лучшего понимания разбора решения задания.

Ниже вариант решения задания из учебника Мерзляк, Номировский, Поляков 10 класс, Просвещение:
26.28. Вычислите 1+5sin(2α)-3/cos(2α), если tg(α)=-2.
