Упражнение 31.8 ГДЗ Мерзляк 10 класс Углубленный уровень (Алгебра)
31.8. Найдите область значений функции: 1) y=arcctg(x)+4; 2) y=v(-arctg(x)). *Цитирирование задания со ссылкой на учебник производится исключительно в учебных целях для лучшего понимания разбора решения задания.

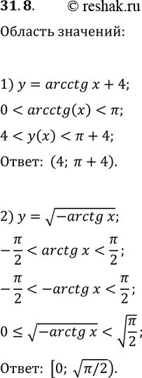
Ниже вариант решения задания из учебника Мерзляк, Номировский, Поляков 10 класс, Просвещение:
31.8. Найдите область значений функции:
1) y=arcctg(x)+4; 2) y=v(-arctg(x)).
