Упражнение 31.5 ГДЗ Мерзляк 10 класс Углубленный уровень (Алгебра)
31.5. Найдите наибольшее и наименьшее значения функции: 1) y=arcsin(x)+?/2; 2) y=arccos(x)+2. *Цитирирование задания со ссылкой на учебник производится исключительно в учебных целях для лучшего понимания разбора решения задания.

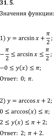
Ниже вариант решения задания из учебника Мерзляк, Номировский, Поляков 10 класс, Просвещение:
31.5. Найдите наибольшее и наименьшее значения функции:
1) y=arcsin(x)+?/2; 2) y=arccos(x)+2.
