Упражнение 31.7 ГДЗ Мерзляк 10 класс Углубленный уровень (Алгебра)
31.7. Найдите область значений функции: 1) y=arctg(x)+2; 2) y=varctg(x). *Цитирирование задания со ссылкой на учебник производится исключительно в учебных целях для лучшего понимания разбора решения задания.

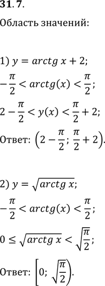
Ниже вариант решения задания из учебника Мерзляк, Номировский, Поляков 10 класс, Просвещение:
31.7. Найдите область значений функции:
1) y=arctg(x)+2; 2) y=varctg(x).
