Упражнение 32.32 ГДЗ Мерзляк 10 класс Углубленный уровень (Алгебра)
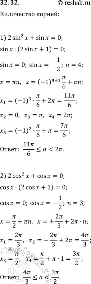
32.32. Определите, при каких положительных значениях параметра а промежуток [0; а] содержит ровно n корней уравнения: 1) 2sin^2(x)+sin(x)=0, n=4; 2) 2cos^2(x)+cos(x)=0, n=3.
![Решение задачи: 32.32. Определите, при каких положительных значениях параметра а промежуток [0; а] содержит ровно n корней уравнения: 1) 2sin^2(x)+sin(x)=0, n=4; 2) 2cos^2(x)+cos(x)=0, n=3.](solutions/algebra/10/635/1-32-32.png)
Ниже вариант решения задания из учебника Мерзляк, Номировский, Поляков 10 класс, Просвещение:
32.32. Определите, при каких положительных значениях параметра а промежуток [0; а] содержит ровно n корней уравнения:
1) 2sin^2(x)+sin(x)=0, n=4; 2) 2cos^2(x)+cos(x)=0, n=3.
