Упражнение 32.33 ГДЗ Мерзляк 10 класс Углубленный уровень (Алгебра)
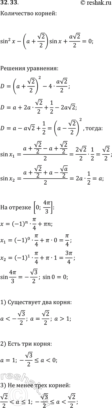
32.33. Определите, при каких значениях параметра а уравнение sin^2(x)-(a+v2/2)sin(x)+av2/2=0 имеет на промежутке [0; 4?/3]: 1) два корня; 2) три корня; 3) не менее трёх корней.
![Решение задачи: 32.33. Определите, при каких значениях параметра а уравнение sin^2(x)-(a+v2/2)sin(x)+av2/2=0 имеет на промежутке [0; 4?/3]: 1) два корня; 2) три корня; 3) не менее трёх корней.](solutions/algebra/10/635/1-32-33.png)
Ниже вариант решения задания из учебника Мерзляк, Номировский, Поляков 10 класс, Просвещение:
32.33. Определите, при каких значениях параметра а уравнение sin^2(x)-(a+v2/2)sin(x)+av2/2=0 имеет на промежутке [0; 4?/3]: 1) два корня; 2) три корня; 3) не менее трёх корней.
