Упражнение 36.14 ГДЗ Мерзляк 10 класс Углубленный уровень (Алгебра)
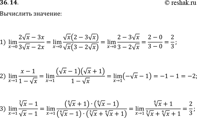
36.14. Вычислите: 1) (xв†’0)lim((2в€љx-3x)/(3в€љx-2x)); 2) (xв†’1)lim((x-1)/(1-в€љx)); 3) (xв†’1)lim((x^(1/3)-1)/(в€љx-1)). *Цитирирование задания со ссылкой на учебник производится исключительно в учебных целях для лучшего понимания разбора решения задания.

Ниже вариант решения задания из учебника Мерзляк, Номировский, Поляков 10 класс, Просвещение:
36.14. Вычислите:
1) (x→0)lim((2√x-3x)/(3√x-2x));
2) (x→1)lim((x-1)/(1-√x));
3) (x→1)lim((x^(1/3)-1)/(√x-1)).
