Упражнение 38.24 ГДЗ Мерзляк 10 класс Углубленный уровень (Алгебра)
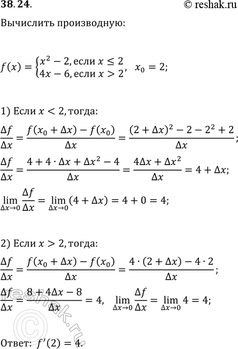
38.24. Найдите производную функции f(x)={x^2-2, если x?2; 4x-6, если x > 2} в точке x_0=2. *Цитирирование задания со ссылкой на учебник производится исключительно в учебных целях для лучшего понимания разбора решения задания.

Ниже вариант решения задания из учебника Мерзляк, Номировский, Поляков 10 класс, Просвещение:
38.24. Найдите производную функции f(x)={x^2-2, если x?2; 4x-6, если x > 2} в точке x_0=2.
