Упражнение 39.1 ГДЗ Мерзляк 10 класс Углубленный уровень (Алгебра)
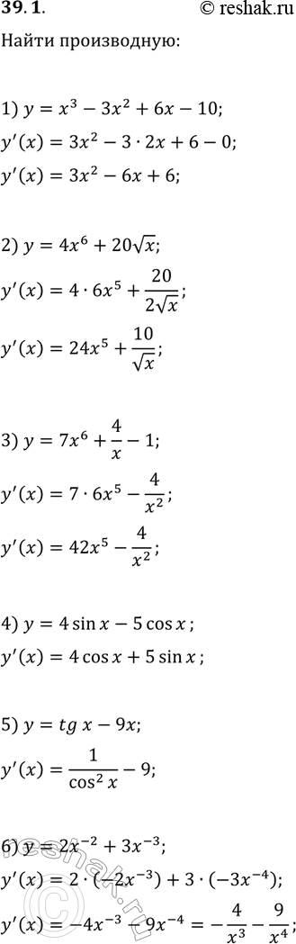
39.1. Найдите производную функции: 1) y=x^3-3x^2+6x-10; 4) y=4sin(x)-5cos(x); 2) y=4x^6+20vx; 5) y=tg(x)-9x; 3) y=7x^6+4/x-1; 6) y=2x^(-2)+3x^(-3). *Цитирирование задания со ссылкой на учебник производится исключительно в учебных целях для лучшего понимания разбора решения задания.

Ниже вариант решения задания из учебника Мерзляк, Номировский, Поляков 10 класс, Просвещение:
39.1. Найдите производную функции:
1) y=x^3-3x^2+6x-10; 4) y=4sin(x)-5cos(x);
2) y=4x^6+20vx; 5) y=tg(x)-9x;
3) y=7x^6+4/x-1; 6) y=2x^(-2)+3x^(-3).
