Упражнение 40.21 ГДЗ Мерзляк 10 класс Углубленный уровень (Алгебра)
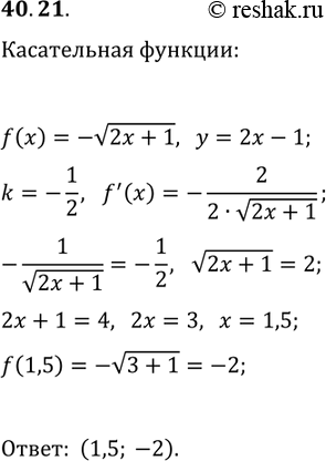
40.21. На графике функции f(x)=-v(2x+1) найдите точку, касательная в которой перпендикулярна прямой y-2x+1=0. *Цитирирование задания со ссылкой на учебник производится исключительно в учебных целях для лучшего понимания разбора решения задания.

Ниже вариант решения задания из учебника Мерзляк, Номировский, Поляков 10 класс, Просвещение:
40.21. На графике функции f(x)=-v(2x+1) найдите точку, касательная в которой перпендикулярна прямой y-2x+1=0.
