Упражнение 40.17 ГДЗ Мерзляк 10 класс Углубленный уровень (Алгебра)
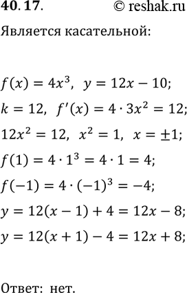
40.17. Определите, является ли прямая y=12x-10 касательной к графику функции f(x)=4x^3. В случае утвердительного ответа укажите абсциссу точки касания. *Цитирирование задания со ссылкой на учебник производится исключительно в учебных целях для лучшего понимания разбора решения задания.

Ниже вариант решения задания из учебника Мерзляк, Номировский, Поляков 10 класс, Просвещение:
40.17. Определите, является ли прямая y=12x-10 касательной к графику функции f(x)=4x^3. В случае утвердительного ответа укажите абсциссу точки касания.
