Упражнение 40.26 ГДЗ Мерзляк 10 класс Углубленный уровень (Алгебра)
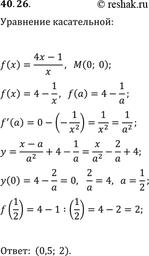
40.26. В какой точке графика функции f(x)=(4x-1)/x надо провести касательную, чтобы эта касательная проходила через начало координат? *Цитирирование задания со ссылкой на учебник производится исключительно в учебных целях для лучшего понимания разбора решения задания.

Ниже вариант решения задания из учебника Мерзляк, Номировский, Поляков 10 класс, Просвещение:
40.26. В какой точке графика функции f(x)=(4x-1)/x надо провести касательную, чтобы эта касательная проходила через начало координат?
