Упражнение 40.29 ГДЗ Мерзляк 10 класс Углубленный уровень (Алгебра)
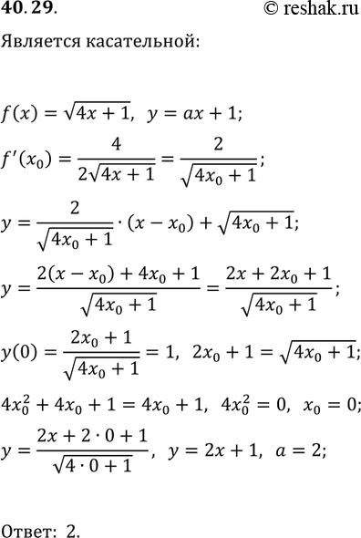
40.29. При каких значениях a прямая y=ax+1 является касательной к графику функции f(x)=v(4x+1)? *Цитирирование задания со ссылкой на учебник производится исключительно в учебных целях для лучшего понимания разбора решения задания.

Ниже вариант решения задания из учебника Мерзляк, Номировский, Поляков 10 класс, Просвещение:
40.29. При каких значениях a прямая y=ax+1 является касательной к графику функции f(x)=v(4x+1)?
