Упражнение 40.30 ГДЗ Мерзляк 10 класс Углубленный уровень (Алгебра)
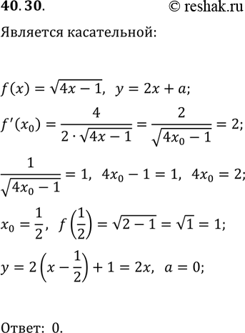
40.30. При каких значениях а прямая y=2x+a является касательной к графику функции f(x)=v(4x-1)? *Цитирирование задания со ссылкой на учебник производится исключительно в учебных целях для лучшего понимания разбора решения задания.

Ниже вариант решения задания из учебника Мерзляк, Номировский, Поляков 10 класс, Просвещение:
40.30. При каких значениях а прямая y=2x+a является касательной к графику функции f(x)=v(4x-1)?
