Упражнение 41.13 ГДЗ Мерзляк 10 класс Углубленный уровень (Алгебра)
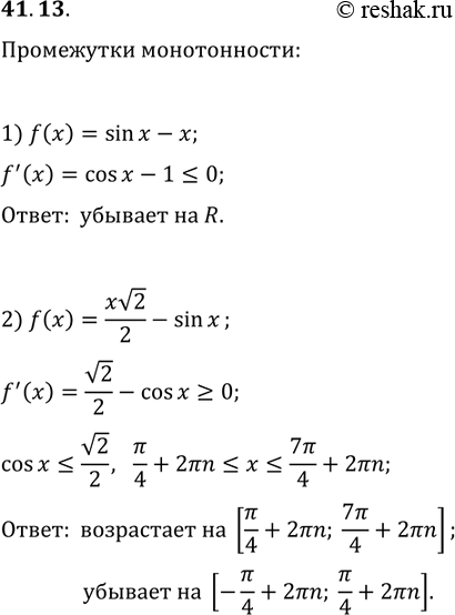
41.13. Найдите промежутки возрастания и убывания функции: 1)f(x)=sin(x)-x; 2) f(x)=xv2/2-sin(x). *Цитирирование задания со ссылкой на учебник производится исключительно в учебных целях для лучшего понимания разбора решения задания.

Ниже вариант решения задания из учебника Мерзляк, Номировский, Поляков 10 класс, Просвещение:
41.13. Найдите промежутки возрастания и убывания функции:
1)f(x)=sin(x)-x; 2) f(x)=xv2/2-sin(x).
