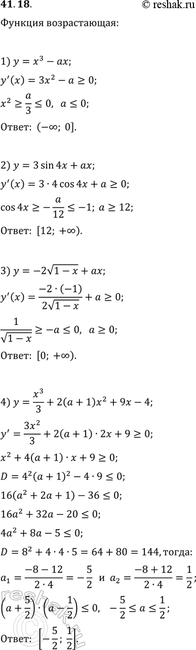
Упражнение 41.18 ГДЗ Мерзляк 10 класс Углубленный уровень (Алгебра)
41.18. При каких значениях параметра а является возрастающей функция: 1) y=x^3-ax; 3) y=-2v(1-x)+ax; 2) y=3sin(4x)+ax; 4) y=x^3/3+2(a+1)x^2+9x-4? *Цитирирование задания со ссылкой на учебник производится исключительно в учебных целях для лучшего понимания разбора решения задания.

Ниже вариант решения задания из учебника Мерзляк, Номировский, Поляков 10 класс, Просвещение:
41.18. При каких значениях параметра а является возрастающей функция:
1) y=x^3-ax; 3) y=-2v(1-x)+ax;
2) y=3sin(4x)+ax; 4) y=x^3/3+2(a+1)x^2+9x-4?
