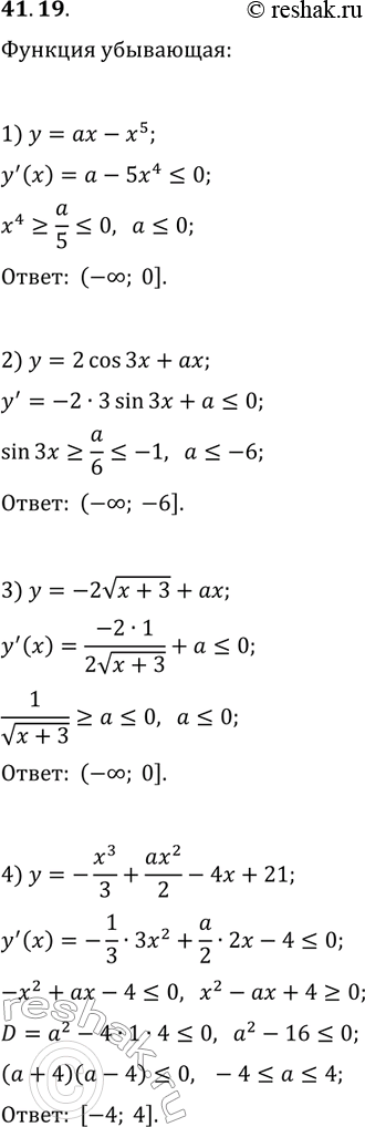
Упражнение 41.19 ГДЗ Мерзляк 10 класс Углубленный уровень (Алгебра)
41.19. При каких значениях параметра а является убывающей функция: 1) y=ax-x^5; 3) y=-2v(x+3)+ax; 2) y=2cos(3x)+ax; 4) y=-x^3/3+ax^2/2-4x+21? *Цитирирование задания со ссылкой на учебник производится исключительно в учебных целях для лучшего понимания разбора решения задания.

Ниже вариант решения задания из учебника Мерзляк, Номировский, Поляков 10 класс, Просвещение:
41.19. При каких значениях параметра а является убывающей функция:
1) y=ax-x^5; 3) y=-2v(x+3)+ax;
2) y=2cos(3x)+ax; 4) y=-x^3/3+ax^2/2-4x+21?
