Упражнение 41.22 ГДЗ Мерзляк 10 класс Углубленный уровень (Алгебра)
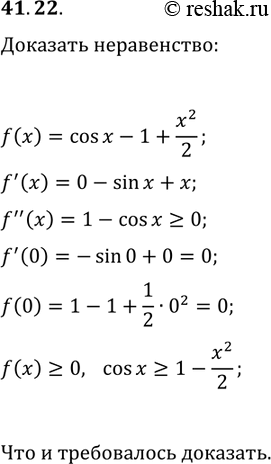
41.22. Докажите неравенство cos(x)?1-x^2/2. *Цитирирование задания со ссылкой на учебник производится исключительно в учебных целях для лучшего понимания разбора решения задания.

Ниже вариант решения задания из учебника Мерзляк, Номировский, Поляков 10 класс, Просвещение:
41.22. Докажите неравенство cos(x)?1-x^2/2.
