Упражнение 42.4 ГДЗ Мерзляк 10 класс Углубленный уровень (Алгебра)
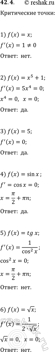
42.4. Рмеет ли критические точки функция: 1) f(x)=x; 3) f(x)=5; 5) f(x)=tg(x); 2) f(x)=x^5+1; 4) f(x)=sin(x); 6) f(x)=в€љx? *Цитирирование задания со ссылкой на учебник производится исключительно в учебных целях для лучшего понимания разбора решения задания.

Ниже вариант решения задания из учебника Мерзляк, Номировский, Поляков 10 класс, Просвещение:
42.4. Рмеет ли критические точки функция:
1) f(x)=x; 3) f(x)=5; 5) f(x)=tg(x);
2) f(x)=x^5+1; 4) f(x)=sin(x); 6) f(x)=в€љx?
