Упражнение 42.6 ГДЗ Мерзляк 10 класс Углубленный уровень (Алгебра)
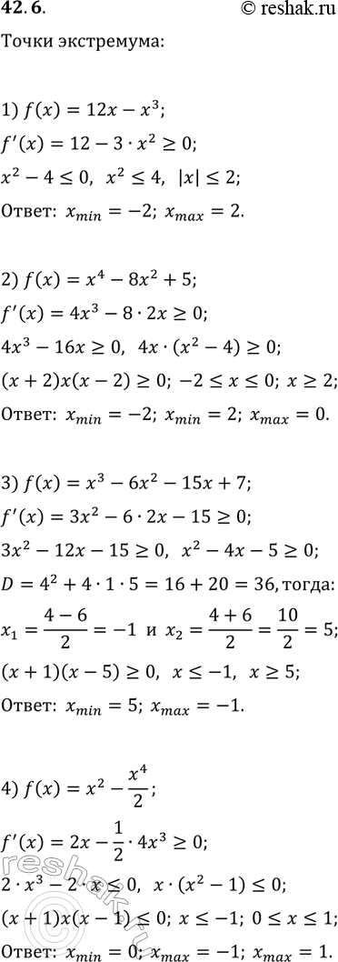
42.6. Найдите точки минимума и максимума функции: 1) f(x)=12x-x^3; 3) f(x)=x^3-6x^2-15x+7; 2) f(x)=x^4-8x^2+5; 4) f(x)=x^2-x^4/2. *Цитирирование задания со ссылкой на учебник производится исключительно в учебных целях для лучшего понимания разбора решения задания.

Ниже вариант решения задания из учебника Мерзляк, Номировский, Поляков 10 класс, Просвещение:
42.6. Найдите точки минимума и максимума функции:
1) f(x)=12x-x^3; 3) f(x)=x^3-6x^2-15x+7;
2) f(x)=x^4-8x^2+5; 4) f(x)=x^2-x^4/2.
