Упражнение 42.7 ГДЗ Мерзляк 10 класс Углубленный уровень (Алгебра)
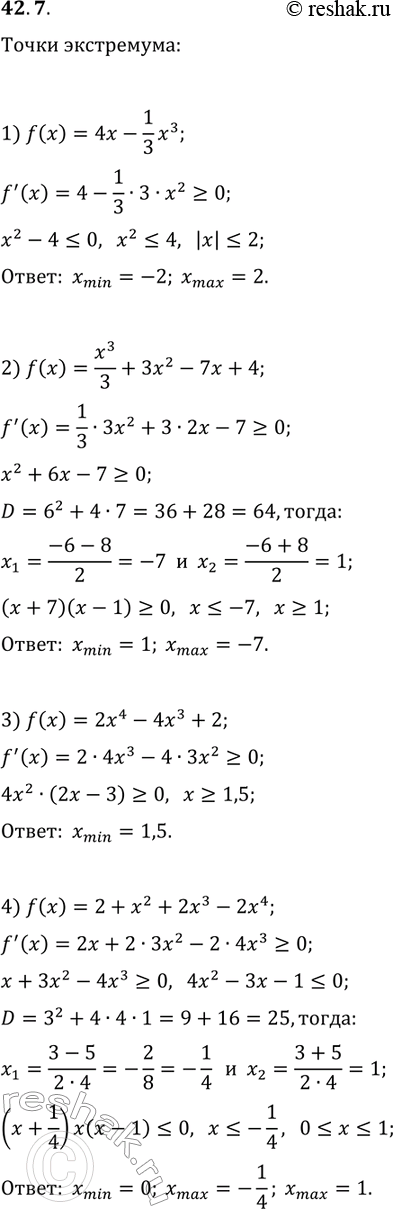
42.7. Найдите точки минимума и максимума функции: 1) f(x)=4x-1/3 x^3; 3) f(x)=2x^4-4x^3+2; 2) f(x)=x^3/3+3x^2-7x+4; 4) f(x)=2+x^2+2x^3-2x^4. *Цитирирование задания со ссылкой на учебник производится исключительно в учебных целях для лучшего понимания разбора решения задания.

Ниже вариант решения задания из учебника Мерзляк, Номировский, Поляков 10 класс, Просвещение:
42.7. Найдите точки минимума и максимума функции:
1) f(x)=4x-1/3 x^3; 3) f(x)=2x^4-4x^3+2;
2) f(x)=x^3/3+3x^2-7x+4; 4) f(x)=2+x^2+2x^3-2x^4.
