Упражнение 47.1 ГДЗ Мерзляк 10 класс Углубленный уровень (Алгебра)
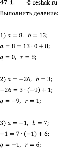
47.1. Найдите неполное частное и остаток при делении числа a на число b, если: 1) a=8, b=13; 2) a=-26, b=3; 3) a=-1, b=7.

Ниже вариант решения задания из учебника Мерзляк, Номировский, Поляков 10 класс, Просвещение:
47.1. Найдите неполное частное и остаток при делении числа a на число b, если:
1) a=8, b=13; 2) a=-26, b=3; 3) a=-1, b=7.
