Упражнение 47.2 ГДЗ Мерзляк 10 класс Углубленный уровень (Алгебра)
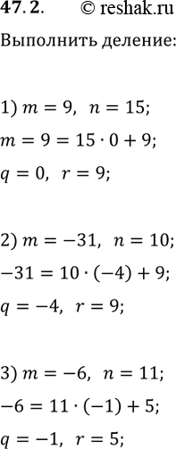
47.2. Найдите неполное частное и остаток при делении числа m на число n, если: 1) m=9, n=15; 2) m=-31, n=10; 3) m=-6;

Ниже вариант решения задания из учебника Мерзляк, Номировский, Поляков 10 класс, Просвещение:
47.2. Найдите неполное частное и остаток при делении числа m на число n, если:
1) m=9, n=15; 2) m=-31, n=10; 3) m=-6; n=11.
