Упражнение 47.22 ГДЗ Мерзляк 10 класс Углубленный уровень (Алгебра)
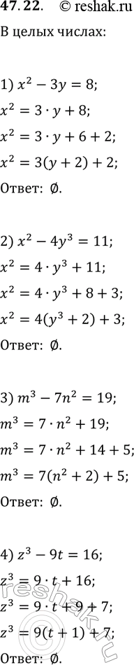
47.22. Решите в целых числах уравнение: 1) x^2-3y=8; 3) m^3-7n^2=19; 2) x^2-4y^3=11; 4) z^3-9t=16. *Цитирирование задания со ссылкой на учебник производится исключительно в учебных целях для лучшего понимания разбора решения задания.

Ниже вариант решения задания из учебника Мерзляк, Номировский, Поляков 10 класс, Просвещение:
47.22. Решите в целых числах уравнение:
1) x^2-3y=8; 3) m^3-7n^2=19;
2) x^2-4y^3=11; 4) z^3-9t=16.
