Упражнение 48.17 ГДЗ Мерзляк 10 класс Углубленный уровень (Алгебра)
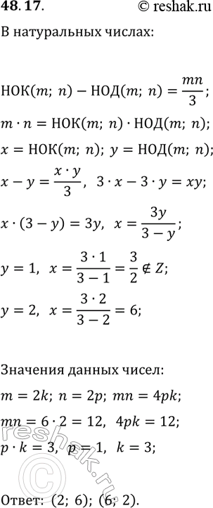
48.17. Найдите все пары натуральных чисел m и n таких, что НОК(m; n)-НОД(m; n)=mn/3. *Цитирирование задания со ссылкой на учебник производится исключительно в учебных целях для лучшего понимания разбора решения задания.

Ниже вариант решения задания из учебника Мерзляк, Номировский, Поляков 10 класс, Просвещение:
48.17. Найдите все пары натуральных чисел m и n таких, что НОК(m; n)-НОД(m; n)=mn/3.
