Упражнение 48.14 ГДЗ Мерзляк 10 класс Углубленный уровень (Алгебра)
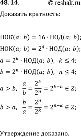
48.14. Наименьшее общее кратное некоторых двух натуральных чисел в 16 раз больше их наибольшего общего делителя. Докажите, что одно из этих чисел кратно другому.

Ниже вариант решения задания из учебника Мерзляк, Номировский, Поляков 10 класс, Просвещение:
48.14. Наименьшее общее кратное некоторых двух натуральных чисел в 16 раз больше их наибольшего общего делителя. Докажите, что одно из этих чисел кратно другому.
