Упражнение 49.21 ГДЗ Мерзляк 10 класс Углубленный уровень (Алгебра)
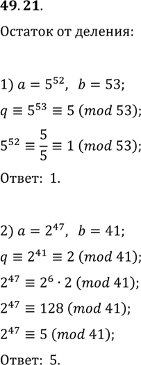
49.21. Используя малую теорему Ферма, найдите остаток от деления числа а на число b, если: 1) a=5^52, b=53; 2) a=2^47, b=41.

Ниже вариант решения задания из учебника Мерзляк, Номировский, Поляков 10 класс, Просвещение:
49.21. Используя малую теорему Ферма, найдите остаток от деления числа а на число b, если:
1) a=5^52, b=53; 2) a=2^47, b=41.
