Упражнение 1.11 ГДЗ Мерзляк 11 класс Базовый уровень (Алгебра)
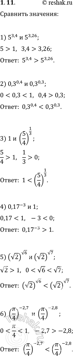
1.11. Сравните: 1) 5^3,4 и 5^3,26; 3) 1 и (5/4)^(1/3); 5) (v2)^(v6) и (v2)^(v7); 2) 0,3^0,4 и 0,3^0,3; 4) 0,17^(-3) и 1;

Ниже вариант решения задания из учебника Мерзляк, Номировский, Полонский 11 класс, Просвещение:
1.11. Сравните:
1) 5^3,4 и 5^3,26; 3) 1 и (5/4)^(1/3); 5) (v2)^(v6) и (v2)^(v7);
2) 0,3^0,4 и 0,3^0,3; 4) 0,17^(-3) и 1; 6) (?/4)^(-2,7) и (?/4)^(-2,8).
