Упражнение 1.15 ГДЗ Мерзляк 11 класс Базовый уровень (Алгебра)
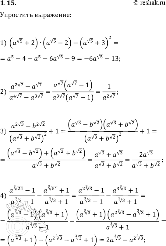
1.15. Упростите выражение: 1) (a^(v5)+2)(a^(v5)-2)-(a^(v5)+3)^2; 2) (a^(2v7)-a^(v7))/(a^(4v7)-a^(3v7); 3) (a^(2v3)-b^(2v2))/(a^(v3)+b^(v2))^2+1; 4) (a^(24^(1/3))-1)/(a^(3^(1/3))-1)-(a^(81^(1/3))+1)/(a^(3^(1/3))+1). *Цитирирование задания со ссылкой на учебник производится исключительно в учебных целях для лучшего понимания разбора решения задания.

Ниже вариант решения задания из учебника Мерзляк, Номировский, Полонский 11 класс, Просвещение:
1.15. Упростите выражение:
1) (a^(v5)+2)(a^(v5)-2)-(a^(v5)+3)^2;
2) (a^(2v7)-a^(v7))/(a^(4v7)-a^(3v7);
3) (a^(2v3)-b^(2v2))/(a^(v3)+b^(v2))^2+1;
4) (a^(24^(1/3))-1)/(a^(3^(1/3))-1)-(a^(81^(1/3))+1)/(a^(3^(1/3))+1).
