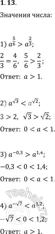
Упражнение 1.13 ГДЗ Мерзляк 11 класс Базовый уровень (Алгебра)
1.13. Сравните с числом 1 положительное число a, если: 1) a^(5/6) > a^(2/3); 3) a^(-0,3) > a^(1,4); 2) a^(v3) *Цитирирование задания со ссылкой на учебник производится исключительно в учебных целях для лучшего понимания разбора решения задания.

Ниже вариант решения задания из учебника Мерзляк, Номировский, Полонский 11 класс, Просвещение:
1.13. Сравните с числом 1 положительное число a, если:
1) a^(5/6) > a^(2/3); 3) a^(-0,3) > a^(1,4);
2) a^(v3)
