Упражнение 1.22 ГДЗ Мерзляк 11 класс Базовый уровень (Алгебра)
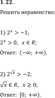
1.22. Решите неравенство: 1) 2^x > -1; 2) 2^(vx) > -2. *Цитирирование задания со ссылкой на учебник производится исключительно в учебных целях для лучшего понимания разбора решения задания.

Ниже вариант решения задания из учебника Мерзляк, Номировский, Полонский 11 класс, Просвещение:
1.22. Решите неравенство:
1) 2^x > -1; 2) 2^(vx) > -2.
