Упражнение 1.18 ГДЗ Мерзляк 11 класс Базовый уровень (Алгебра)
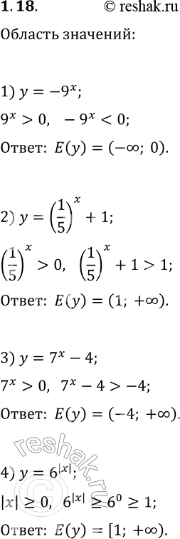
1.18. Найдите область значений функции: 1) y=-9^x; 2) y=(1/5)^x+1; 3) y=7^x-4; 4) y=6^(|x|). *Цитирирование задания со ссылкой на учебник производится исключительно в учебных целях для лучшего понимания разбора решения задания.

Ниже вариант решения задания из учебника Мерзляк, Номировский, Полонский 11 класс, Просвещение:
1.18. Найдите область значений функции:
1) y=-9^x; 2) y=(1/5)^x+1; 3) y=7^x-4; 4) y=6^(|x|).
