Упражнение 1.17 ГДЗ Мерзляк 11 класс Базовый уровень (Алгебра)
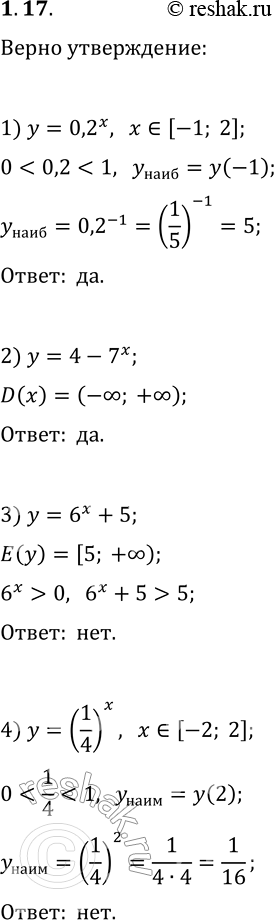
1.17. Верно ли утверждение: 1) наибольшее значение функции у=0,2^x на промежутке [-1; 2] равно 5; 2) областью определения функции y=4-7^x является множество действительных чисел;
![Решение задачи: 1.17. Верно ли утверждение: 1) наибольшее значение функции у=0,2^x на промежутке [-1; 2] равно 5; 2) областью определения функции y=4-7^x является множество действительных чисел;](solutions/algebra/11/647/1-1-17.png)
Ниже вариант решения задания из учебника Мерзляк, Номировский, Полонский 11 класс, Просвещение:
1.17. Верно ли утверждение:
1) наибольшее значение функции у=0,2^x на промежутке [-1; 2] равно 5;
2) областью определения функции y=4-7^x является множество действительных чисел;
3) областью значений функции y=6^x+5 является промежуток [5; +?);
4) наименьшее значение функции y=(1/4)^x на промежутке [-2; 2] равно 16?
