Упражнение 15.27 ГДЗ Мерзляк 11 класс Базовый уровень (Алгебра)
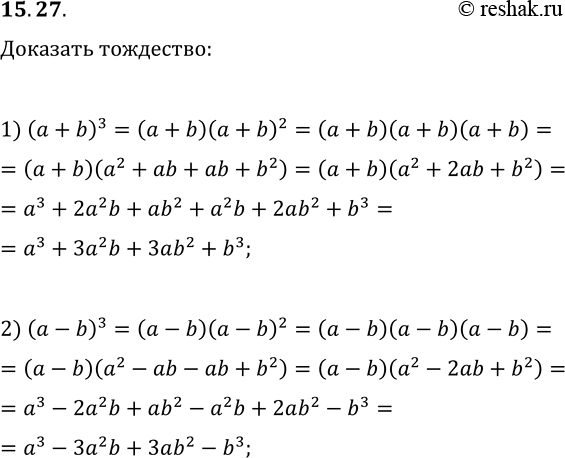
15.27. Докажите тождество: 1) (a+b)^3=a^3+3a^2 b+3ab^2+b^3; 2) (a-b)^3=a^3-3a^2 b+3ab^2-b^3. *Цитирирование задания со ссылкой на учебник производится исключительно в учебных целях для лучшего понимания разбора решения задания.

Ниже вариант решения задания из учебника Мерзляк, Номировский, Полонский 11 класс, Просвещение:
15.27. Докажите тождество:
1) (a+b)^3=a^3+3a^2 b+3ab^2+b^3;
2) (a-b)^3=a^3-3a^2 b+3ab^2-b^3.
