Упражнение 15.28 ГДЗ Мерзляк 11 класс Базовый уровень (Алгебра)
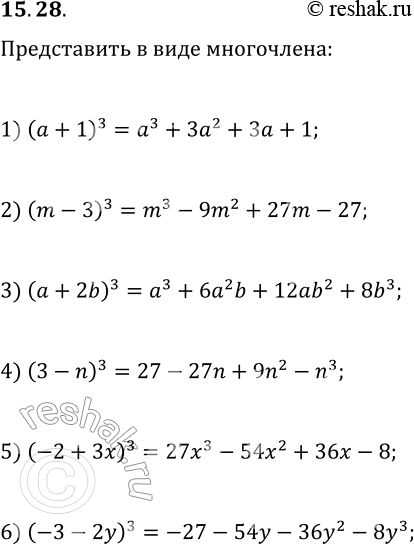
15.28. Представьте в виде многочлена выражение: 1) (a+1)^3; 3) (a+2b)^3; 5) (-2+3x)^3; 2) (m-3)^3; 4) (3-n)^3; 6) (-3-2y)^3. *Цитирирование задания со ссылкой на учебник производится исключительно в учебных целях для лучшего понимания разбора решения задания.

Ниже вариант решения задания из учебника Мерзляк, Номировский, Полонский 11 класс, Просвещение:
15.28. Представьте в виде многочлена выражение:
1) (a+1)^3; 3) (a+2b)^3; 5) (-2+3x)^3;
2) (m-3)^3; 4) (3-n)^3; 6) (-3-2y)^3.
