Упражнение 4.4 ГДЗ Мерзляк 11 класс Базовый уровень (Алгебра)
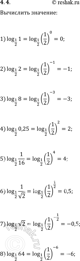
4.4. Найдите логарифм по основанию 1/2 числа: 1) 1; 3) 8; 5) 1/16; 7) v2; 2) 2; 4) 0,25; 6) 1/v2;

Ниже вариант решения задания из учебника Мерзляк, Номировский, Полонский 11 класс, Просвещение:
4.4. Найдите логарифм по основанию 1/2 числа:
1) 1; 3) 8; 5) 1/16; 7) v2;
2) 2; 4) 0,25; 6) 1/v2; 8) 64.
