Упражнение 4.5 ГДЗ Мерзляк 11 класс Базовый уровень (Алгебра)
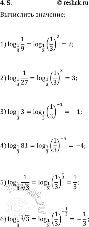
4.5. Найдите логарифм по основанию 1/3 числа: 1) 1/9; 2) 1/27; 3) 3; 4) 81; 5) 1/3^(1/3); 6) 3^(1/3). *Цитирирование задания со ссылкой на учебник производится исключительно в учебных целях для лучшего понимания разбора решения задания.

Ниже вариант решения задания из учебника Мерзляк, Номировский, Полонский 11 класс, Просвещение:
4.5. Найдите логарифм по основанию 1/3 числа:
1) 1/9; 2) 1/27; 3) 3; 4) 81; 5) 1/3^(1/3); 6) 3^(1/3).
