Упражнение 6.1 ГДЗ Мерзляк 11 класс Базовый уровень (Алгебра)
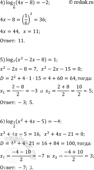
6.1. Решите уравнение: 1) log_2 (x-1)=1; 4) log_(1/6) (4x-8)=-2; 2) log_3 (2x+1)=3; 5) log_7 (x^2-2x-8)=1; 3) lg (3-2x)=2; 6) log_(1/2) (x^2+4x-6)=-4.


Ниже вариант решения задания из учебника Мерзляк, Номировский, Полонский 11 класс, Просвещение:
6.1. Решите уравнение:
1) log_2 (x-1)=1; 4) log_(1/6) (4x-8)=-2;
2) log_3 (2x+1)=3; 5) log_7 (x^2-2x-8)=1;
3) lg (3-2x)=2; 6) log_(1/2) (x^2+4x-6)=-4.
