Упражнение 6.5 ГДЗ Мерзляк 11 класс Базовый уровень (Алгебра)
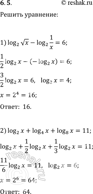
6.5. Решите уравнение: 1) log_2 vx-log_2 (1/x)=6; 4) log_7 log_4 (x-2)=0; 2) log_2 x+log_4 x+log_8 x=11; 5) log_4 log_3 log_2 x=1/2.


Ниже вариант решения задания из учебника Мерзляк, Номировский, Полонский 11 класс, Просвещение:
6.5. Решите уравнение:
1) log_2 vx-log_2 (1/x)=6; 4) log_7 log_4 (x-2)=0;
2) log_2 x+log_4 x+log_8 x=11; 5) log_4 log_3 log_2 x=1/2.
3) log_6 x+2log_36 x+3log_216 x=3;
