Упражнение 6.2 ГДЗ Мерзляк 11 класс Базовый уровень (Алгебра)
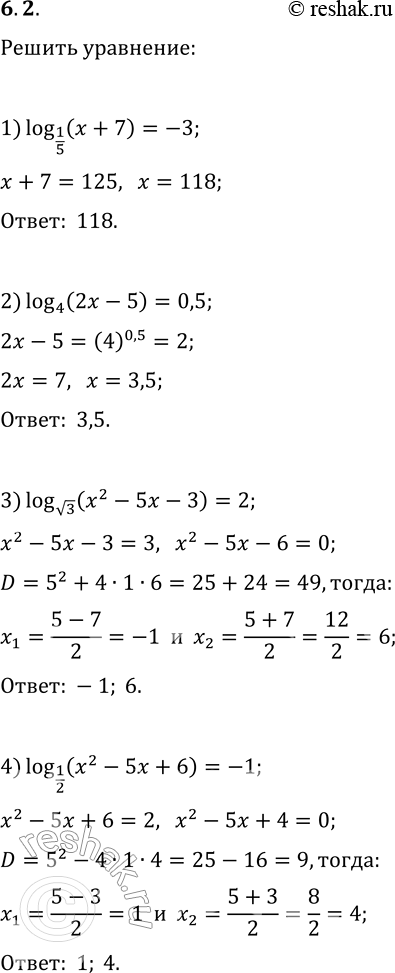
6.2. Решите уравнение: 1) log_(1/5) (x+7)=-3; 3) log_v3 (x^2-5x-3)=2; 2) log_4 (2x-5)=0,5; 4) log_(1/2) (x^2-5x+6)=-1. *Цитирирование задания со ссылкой на учебник производится исключительно в учебных целях для лучшего понимания разбора решения задания.

Ниже вариант решения задания из учебника Мерзляк, Номировский, Полонский 11 класс, Просвещение:
6.2. Решите уравнение:
1) log_(1/5) (x+7)=-3; 3) log_v3 (x^2-5x-3)=2;
2) log_4 (2x-5)=0,5; 4) log_(1/2) (x^2-5x+6)=-1.
