Упражнение 6.8 ГДЗ Мерзляк 11 класс Базовый уровень (Алгебра)
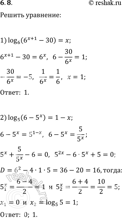
6.8. Решите уравнение: 1) log_6 (6^(x+1)-30)=x; 2) log_5 (6-5^x)=1-x. *Цитирирование задания со ссылкой на учебник производится исключительно в учебных целях для лучшего понимания разбора решения задания.

Ниже вариант решения задания из учебника Мерзляк, Номировский, Полонский 11 класс, Просвещение:
6.8. Решите уравнение:
1) log_6 (6^(x+1)-30)=x; 2) log_5 (6-5^x)=1-x.
