Упражнение 6.7 ГДЗ Мерзляк 11 класс Базовый уровень (Алгебра)
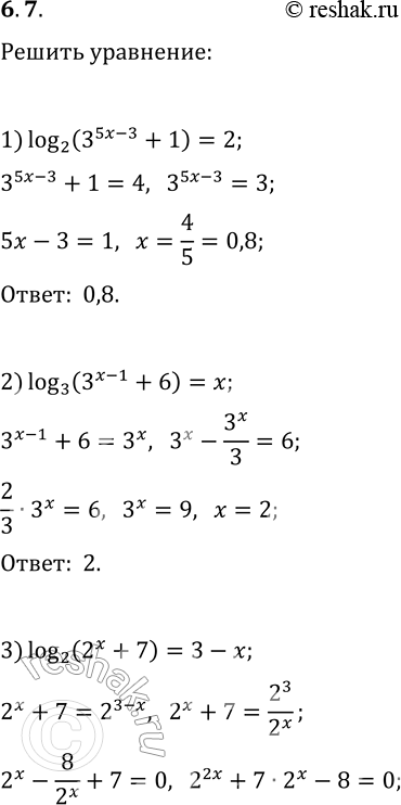
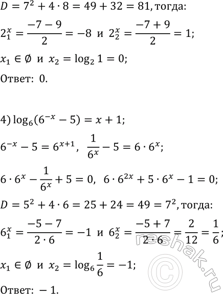
6.7. Решите уравнение: 1) log_2 (3^(5x-3)+1)=2; 3) log_2 (2^x+7)=3-x; 2) log_3 (3^(x-1)+6)=x; 4) log_6 (6^(-x)-5)=x+1. *Цитирирование задания со ссылкой на учебник производится исключительно в учебных целях для лучшего понимания разбора решения задания.


Ниже вариант решения задания из учебника Мерзляк, Номировский, Полонский 11 класс, Просвещение:
6.7. Решите уравнение:
1) log_2 (3^(5x-3)+1)=2; 3) log_2 (2^x+7)=3-x;
2) log_3 (3^(x-1)+6)=x; 4) log_6 (6^(-x)-5)=x+1.
