Упражнение 8.15 ГДЗ Мерзляк 11 класс Базовый уровень (Алгебра)
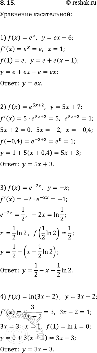
8.15. Составьте уравнение касательной к графику функции: 1) f(x)=e^x, если эта касательная параллельна прямой y=ex-6; 2) f(x)=e^(5x+2), если эта касательная параллельна прямой y=5x+7;

Ниже вариант решения задания из учебника Мерзляк, Номировский, Полонский 11 класс, Просвещение:
8.15. Составьте уравнение касательной к графику функции:
1) f(x)=e^x, если эта касательная параллельна прямой y=ex-6;
2) f(x)=e^(5x+2), если эта касательная параллельна прямой y=5x+7;
3) f(x)=e^(-2x), если эта касательная параллельна прямой y=-x;
4) f(x)=ln (3x-2), если эта касательная параллельна прямой y=3x-2.
