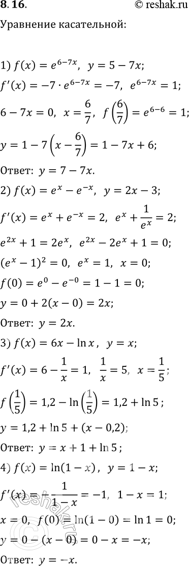
Упражнение 8.16 ГДЗ Мерзляк 11 класс Базовый уровень (Алгебра)
8.16. Составьте уравнение касательной к графику функции: 1) f(x)=e^(6-7x), если эта касательная параллельна прямой y=5-7x; 2) f(x)=e^x-e^(-x), если эта касательная параллельна прямой y=2x-3;

Ниже вариант решения задания из учебника Мерзляк, Номировский, Полонский 11 класс, Просвещение:
8.16. Составьте уравнение касательной к графику функции:
1) f(x)=e^(6-7x), если эта касательная параллельна прямой y=5-7x;
2) f(x)=e^x-e^(-x), если эта касательная параллельна прямой y=2x-3;
3) f(x)=6x-ln x, если эта касательная параллельна прямой y=x;
4) f(x)=ln (1-x), если эта касательная параллельна прямой y=1-х.
