Упражнение 8.11 ГДЗ Мерзляк 11 класс Базовый уровень (Алгебра)
8.11. Составьте уравнение касательной к графику функции f в точке с абсциссой х_0: 1) f(x)=e^(-2x), x_0=0; 5) f(x)=3x+ln x, x_0=1; 2) f(x)=e^x+sin x, x_0=0;


Ниже вариант решения задания из учебника Мерзляк, Номировский, Полонский 11 класс, Просвещение:
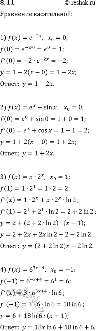
8.11. Составьте уравнение касательной к графику функции f в точке с абсциссой х_0:
1) f(x)=e^(-2x), x_0=0; 5) f(x)=3x+ln x, x_0=1;
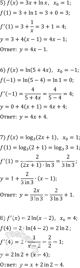
2) f(x)=e^x+sin x, x_0=0; 6) f(x)=ln (5+4x), x_0=-1;
3) f(x)=x·2^x, x_0=1; 7) f(x)=log_3 (2x+1), x_0=1;
4) f(x)=6^(3x+4), x_0=-1; 8) f(x)=2ln (x-2), x_0=4.
