Упражнение 1.34 ГДЗ Дорофеев Суворова 7 класс (Алгебра)
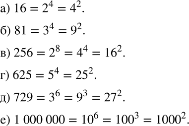
Число 64 можно по-разному представить в виде степени: 64 = 2^6 = 4^3 = 8^2. Запишите разными способами в виде степени следующее число:

Ниже вариант решения задания из учебника Дорофеев, Суворова, Бунимович 7 класс, Просвещение:
Число 64 можно по-разному представить в виде степени:
64 = 2^6 = 4^3 = 8^2.
Запишите разными способами в виде степени следующее число:
а) 16; б) 81; в) 256; г) 625; д) 729; е) 1 000 000.
