Упражнение 1.36 ГДЗ Дорофеев Суворова 7 класс (Алгебра)
Запишите в виде степени: а) с основанием 7 произведения: 7^2 • 7^8; 7^4 • 7^3 • 7^10; 7 * 7^ 9 * 7^3;

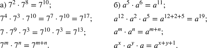
Ниже вариант решения задания из учебника Дорофеев, Суворова, Бунимович 7 класс, Просвещение:
Запишите в виде степени:
а) с основанием 7 произведения:
7^2 • 7^8;
7^4 • 7^3 • 7^10;
7 * 7^ 9 * 7^3;
7m * 7n;
б) с основанием а произведения:
а5 * а6;
а12 * а2 * а5;
аm * аn;
ах * ау * а.
