Упражнение 1.39 ГДЗ Дорофеев Суворова 7 класс (Алгебра)
Вычислите: а) 5 * (-3)3 + 7; б) —2 * (—1,1 )2 - 15; в) 10 - 7 * (-2)7; г) -20 - 10 * (—0,1)2;

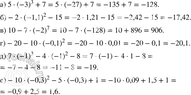
Ниже вариант решения задания из учебника Дорофеев, Суворова, Бунимович 7 класс, Просвещение:
Вычислите:
а) 5 * (-3)3 + 7;
б) —2 * (—1,1 )2 - 15;
в) 10 - 7 * (-2)7;
г) -20 - 10 * (—0,1)2;
д) 7 * (—1)3 - 4 * (-1)2 - 8;
е) -10 * (-0,3)2 - 5 * (-0,3) + 1.
