Упражнение 1.37 ГДЗ Дорофеев Суворова 7 класс (Алгебра)
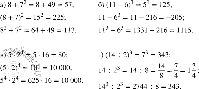
Вычислите: а) 8 + 7^2, (8 + 7)2, 8^2 + 7^2; б) (11-6)3, 11-6^3, 11^3-63; в) 5 * 2^4, (5 * 2)4, 5^4 * 2^4;

Ниже вариант решения задания из учебника Дорофеев, Суворова, Бунимович 7 класс, Просвещение:
Вычислите:
а) 8 + 7^2, (8 + 7)2, 8^2 + 7^2;
б) (11-6)3, 11-6^3, 11^3-63;
в) 5 * 2^4, (5 * 2)4, 5^4 * 2^4;
г) (14 : 2)3, 14 : 2^3, 14^3 : 2^3.
