Упражнение 3.39 ГДЗ Дорофеев Суворова 7 класс (Алгебра)
В первом ряду амфитеатра а мест, а в каждом следующем на 2 места больше, чем в предыдущем. Сколько всего мест в амфитеатре, если он состоит:

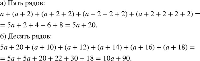
Ниже вариант решения задания из учебника Дорофеев, Суворова, Бунимович 7 класс, Просвещение:
В первом ряду амфитеатра а мест, а в каждом следующем на 2 места больше, чем в предыдущем. Сколько всего мест в амфитеатре, если он состоит: а) из 5 рядов; б) из 10 рядов?
